替代进口SPD
1、跨步电压的产生:
在工程上,为了接地,常常将金属导体深埋于地下,然后将系统中需要接地的部分与接地体相连。由于接地体与大地并不是完全零电阻的良导体,所以,电流经接地体流经大地时,除了接地导线的电阻外,还会遇到接地本身的电阻和大地电阻。根据欧姆定律,电流流经电阻时会在电阻两端产生电压。又因为大地的电阻并不是均匀分布的,导致电流流经大地时会在地面不同地方产生不等的电势,当人双脚同时接触地面不同地点时,不等的电势会在人双脚产生电势差而产生跨步电压,而人的双脚、躯干和大地形成电流回路,就会造成电流流经人体造成伤害。
2、跨步电压计算与接地防护区的确定:
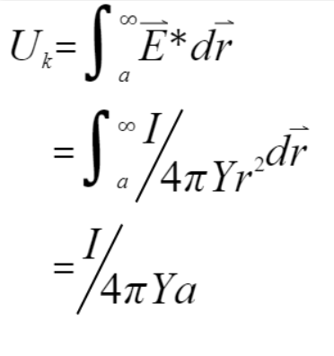
接地体深埋于地下时,一般认为其离地表面无穷远,基本不受接地电流的影响。

如图,接地体是一个半径为a的球形良导体,土壤是电导率为Y的不良导体,此时电流可看作是球心对称分布,对于距离球心为r处的任意闭合球面,雷电入地电流为I,由欧姆定律得到距离球心为r处的任意闭合球面上一点K的电压为:

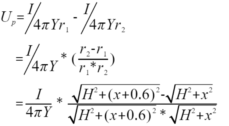
那么,以人双脚岔开0.6米计算,在距离接地体安装位置x处的跨步电压为Up(假设接地体埋设深度为H):

如图所示,则Up计算如下:

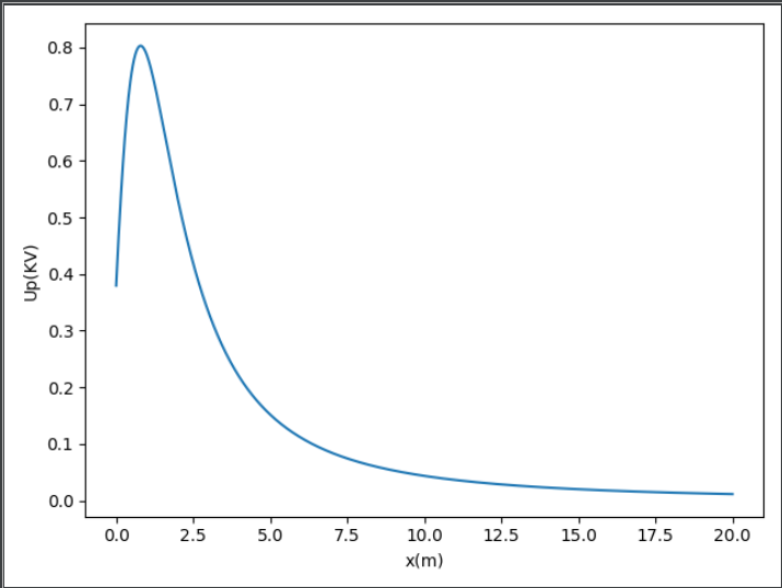
假设接地体埋设深度为1.5m,雷电流100KA,接地电阻为1Ω,则,跨步电压图像如下:

由图像可知,当接地体埋地深度1.5m,接地电阻1Ω前提下,雷击电流100KA入地时,在距离接地体安装位置7.5米之外需要安装区域隔离护栏,才能保证雷击时不会造成人员受到跨步电压伤害。
杭州易造科技有限公司专门从事于低压配电领域提供安全智慧用电方案,公司拥有多年的建筑物防雷设计经验,针对石油石化、轨道交通、电力系统和工业生产等不同的场景专门设计有不同的防雷设计方案。公司目前拥有各类型T1级、T2级电源类浪涌保护器、信号类浪涌保护器和浪涌专用后备保护器、第三代雷电预警系统和防雷监控系统。本公司可以根据不同客户的不同需求提供不同的产品和防雷设计方案,除此之外,本公司还可根据客户要求提供定制化的产品及方案。易造科技在深圳、上海、南京、常州等地设立研发生产基地,提供满足客户需求的产品和方案,与国际标准同步。易造注重生产过程的和谐与安全,科学严谨、精益求精。公司通过了ISO9001质量管理体系、ISO14001环境管理体系、OHSAS18001职业健康安全管理体系、五星售后服务等认证。产品通过了TUV、CE、CQC等严格检测认证。我们秉承专业、优质、安全的服务理念,创建行业具有价值的合作平台。
微信咨询
官方公众号