替代进口SPD
“接地”就是指在系统与某个电位基准之间建立低电阻通路,相同接地点之间的连线被称为地线。通常电子设备的“地”有两种含义:一种是接“大地”;一种是“系统基准地”,也可称为“信号地”。在现代接地概念中、对于线路工程师来说,该术语的含义通常是‘线路电压的参考点’;对于系统设计师来说,它常常是机柜或机架;对电气工程师来说,它是绿色安全地线或接到大地的意思。
接地原因:
接地技术的引入最初是为了防止电力或电子等设备遭雷击而采取的保护性措施,目的是把雷电产生的雷击电流通过避雷针引入到大地,从而起到保护建筑物的作用。
接地的方式:
单点接地,多点接地以及混合类型的接地。单点接地所有电路的地线接到公共地线的同一点,又分为串联单点接地和并联单点接地。多点接线所有电路的地线就近接地,地线很短,适合高频接地,问题是存在地环路。混合接地在地线系统内使用电感、电容连接,利用电感、电容器件在不同频率下有不同阻抗的特性,使地线系统在不同的频率具有不同的接地结构。
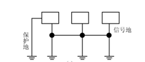
单点接地

多点接地

混合接地

接地系统分为IT、TT 、TN三种,其中TN系统又分为TN-S、TN-C-S、TN-C。
TN、TT和IT这三种接地系统文字符号的含义:
**个字母说明电源的带电导体与大地的关系,也即如何处理系统接地:
T:电源的一点(通常是中性线上的一点)与大地直接连接。
I:电源与大地隔离(不接地)或电源的一点经高阻抗与大地连接。
第二个字母说明电气装置的外露导电部分与大地的关系,也即如何处理保护接地。
T:外露导电部分直接接大地,它与电源的接地无联系。
N:外露导电部分通过与接地的电源中性点的连接而接地。
TN-C系统:在全系统内N线和PE线是合一的
TN-S系统:在全系统内N线和PE线是分开的
TN-C-S系统:在全系统内,通常仅在低压电气装置电源进线点前N线和PE线是合一的,电源进线点后即分为两根线。
不同接地系统的接线图例如下:
TN-C系统:

TN-S系统:

TN-C-S系统:

TT系统:

IT系统:

接地的分类:
工作接地、保护接地、防雷接地、系统接地。
工作接地:交流电力系统根据中性点是否接地分为中性点接地系统、中性点绝缘系统、中性点通过电阻或电感接地的中性点非有效接地,工作接地一般是为了降低电力设备的绝缘水平。
保护接地:电气设备发生故障时,其外壳将带电。为了保护人身安全,所有电气设备的外壳必须接地,这就是保护接地。
防雷接地:为了防止雷电对电力系统及人身安全的危害,一般采用避雷针、避雷线及避雷器等雷电防护设备,雷电防护设备都必须和合适的接地装置相连,将雷电流导入大地,这种接地就是防雷接地。
保护接地和防雷接地:

系统接地:

其中防雷接地装置组成:
防雷接地装置是受地点束缚的,由相互导电连接的电极组成的一个整体,或者是以相同方式作用的金属部件(如:钢筋混凝土基础,接地的金属铠装电缆。)
1)接地线:电气设备、杆塔的接地端子与接地体或零线连接用的正常情况下不载流的金属导体。
2)接地体(极):埋入土中并直接与大地接触的金属导体,称为接地体。分为垂直接地体和水平接地体,与接地线总称接地装置。
3)接地网:由垂直和水平接地体组成的具有泄流和均压作用的网状接地装置。
4)接地电阻:接地体或自然接地体的对地电阻的总和。
接地电阻在线监测
杭州易造科技有限公司经过多年研发的“接地电阻智能监测仪”是新一代高新技术产品,专为在线检测接地引下线的连接状况、回路接地电阻、金属回路联结电阻而精心设计制造的。接地电阻智能检测仪在线检测、无需自检、实时检测;采用RS485有线或无线通信传输数据,可远程在线监测;监控软件24小时无间断监测,记录数据自动存储,方便查询;监控模块在线监测接地电阻值,当电阻值出现异常,秒级报警;采用35mm滑轨安装设计,产品体积小、安装更方便;采用工业级设计,具有高精度、高稳定性、高可靠性。实现了雷电防护的数字化、可视化。
微信咨询
官方公众号